
NUCLEÓTIDOS
Los nucleótidos son biomoléculas complejas formadas por una pentosa, una base nitrogenada y ácido fosfórico; son compuestos formados siempre por carbono, hidrógeno, oxígeno, nitrógeno y fósforo, y muy puntualmente contiene azufre.
Componentes de los nucleótidos
Las pentosas presentes en los nucleótidos son las siguientes:
- Ribosa, que formará ribonucleótidos.
- Desoxirribosa, que formará desoxirribonucleótidos.
Las bases nitrogenadas son compuestos heterocíclicos que contienen nitrógeno. Presentan dos tipos de bases nitrogenadas, que son las púricas (adenina y guanina) y la pirimidínicas (timina, citosina y uracilo).
Ácido fosfórico, que se encuentra en forma de fosfato.

Los componentes de los nucleótidos se unen mediante dos tipos de enlaces, que son el enlace N-glucosídico y el enlace éster fosfórico.
Nucleótidos no nucleicos
Los nucleótidos no nucleicos se encuentran libres en las células y realizan diversas funciones: aportan energía química en las reacciones celulares, actúan como cofactores de las enzimas y son mediadores en los procesos de comunicación celular.
A. Nucleótidos energéticos
Son los nucleótidos difosfato y trifosfato de la célula que incorporan uno o dos grupos fosfato al grupo fosfato ya existente en la posición 5. El enlace originado entre los grupos fosfato es un enlace covalente rico en energía. La energía almacenada en estos enlaces éster se libera cuando se rompen por hidrólisis.

El ATP es la molécula portadora de energía primaria para todas las formas de vida, es la moneda de energía celular; puede ceder energía por desfosforilación y regenerarse a partir del ADP por fosforilación.

B. Coenzimas
Las coenzimas son compuestos no proteicos, termoestables, que unidos a una enzima facilitan su acción de modo transitorio. Muchas de las enzimas son nucleótidos.
Algunos nucleótidos actúan como transportadores de electrones, protones, iones hidruro o átomos de hidrógeno en reacciones metabólicas de oxidación-reducción, por lo que presentan dos formas, una reducida y otra oxidada, llamados piridín-nucleótidos y flavín-nucleótidos.
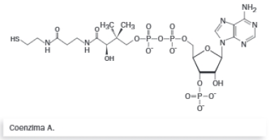
La coenzima A está formada por el ácido pantoténico (vitamina B5) unido a un ADP y a una cadena corta de etilamina unida a un grupo tiol. La parte activa de la molécula es el grupo tiol. Su función es transportar grupos acilo, que juegan un importante papel en el metabolismo.

C. Mediadores celulares
Existen nucleótidos que actúan como reguladores de procesos metabólicos; es el caso del AMP cíclico o AMPc, que se origina cuando el fosfato se une a los carbonos 3 y 5 de la ribosa formando un enalce fosfodiéster cíclico.
El AMPc se forma en las células a partir del ATP mediante una reacción catalizada por la adenilato ciclasa localizada en la membrana celular cuando la hormona se une a su receptor de membrana. Actúa como segundo mensajero transmitiendo y amplificando las señales hormonales.

Nucleótidos nucleicos
Los nucleótidos nucleicos son los monómeros de los polímeros de ARN y ADN.
En el caso del ARN son los ribonucleótidos de adenina, guanina, citosina y uracilo; en el caso del ADN son los desoxirribonucleótidos de adenina, guanina, citosina y timina.

La unión de dos nucleótidos es por enlace éster-fosfato que resulta de la reacción entre el ácido fosfórico unido al carbono 5 de la pentosa de un nucleótido y el hidroxilo del carbono 3 de la pentosa de otro nucleótido.
La cadena de hasta 10 nucleótidos se denomina oligonucleótidos, y si el número es mayor de 10, tenemos un polinucleótido.
Las cadenas polinucleotídicas de los ácidos nucleicos contienen miles de unidades nucleotídicas.
ADN
La moléculas ADN fue descubierta por el biólogo suizo Friedrich Miescher, quien la inspeccionar el pus de heridas abiertas aisló moléculas ricas en fosfato. El análisis de este precipitado mostró que se trataba de un material complejo que contenía, entre otras cosas, nitrógeno y fósforo. Las proporciones eran diferentes a cualquier otro material biológico estudiado, por lo que concluyó que había aislado un componente biológico no descrito previamente.
Estructura primaria del ADN
En el medio acuoso celular del ADN se encuentra en tres niveles estructurales de complejidad creciente. La estructura primaria y secundaria son estructuras presentes en todos los ADN. Cuando se asocia a proteínas nucleares, el ADN forma estructuras superenrolladas de nivel estructural de nivel estructural terciario.
Queda matizar que el ADN está formado por dos largas cadenas poliméricas de desoxirribonucleótidos monofosfato de adenina, guanina y citosina. La secuencia de nucleótidos es su estructura primaria y la lectura de las cadenas se realiza en sentido 5′ a 3′.
Las distintas moléculas de ADN se diferencian en su tamaño y en la secuencia de las bases nitrogenadas. Los individuos de la misma especie comparten la misma secuencia en todas y cada una de sus células, pero las múltiples combinaciones posibles en ellas determinan la enorme variabilidad biológica existente, ya que cada especie tiene una secuencia de bases característica y diferente.

Estructura secundaria del ADN
La estructura del ADN es la doble hélice, estructura dextrógira formada por dos cadenas de polinucleótidos enrolladas alrededor de un eje imaginario.

- Las bases nitrogenadas se orientan hacia el interior de la cadena, enfrentadas entre sí en un plano perpendicular al eje de la molécula. Los grupos fosfatos y las pentosas se sitúan hacia el exterior.
- Las dos cadenas son antiparalelas, sus orientaciones son opuestas, y para separarlas hay que desenrollarlas (arrollamiento plectoménico).
- Las cadenas de nucleótidos son complementarias, es decir, existe correspondencia entre las bases nitrogenadas de ambas cadenas; así, cada base púrica se une a una base pirimídica, y los emparejamientos son: cada adenina se una siempre a una timina y cada citosina con una guanina, cumpliéndose así la regla de Chargaff (A-T C-G).
- Las dos cadenas se mantienen unidas mediante puentes de hidrógeno que se establecen por emparejamiento de bases: la adenina y la timina lo hacen por dos puentes de hidrógeno, y la citosina y la guanina por tres puentes de hidrógeno).

Localización celular del ADN
Podemos encontrar ADN en las células pero también en los virus:
- En células procariotas, el ADN constituye un cromosoma bacteriano situado en el nucleoide; la molécula es de doble hélice circular. Las bacterias pueden portar pequeñas porciones de ADN extracromosómico, doble hélice circular, denominados plásmidos.
- En células eucariotas, el ADN se encuentra dentro del núcleo. Debido a que la célula es muy pequeña, y por los organismos tienen muchas moléculas de ADN por célula, cada molécula de ADN debe estar empaquetada de forma muy compacta y precisa. El ADN nuclear es bicatenario lineal. Mitocondrias y cloroplastos también presentan ADN propio de similares características que el ADN bacteriano.
- Los virus portadores de ADN presentan, en la mayoría de los casos y con mayor diversidad, una molécula de ADN bicatenario rodeada de la cubierta proteica que constituye la cápside.
Desnaturalización del ADN
En condiciones fisiológicas, la molécula de ADN es muy estable.
En ciertas condiciones de temperatura, en torno a 100 grados centígrados, elevadas concentraciones salinas y pH por encima de 13, la molécula de ADN puede perder su estructura secundaria.
La desnaturalización implica la desaparición de las interacciones hidrofóbicas y la ruptura de los enlaces de hidrógeno que mantienen unidas las dos hebras de ADN, como consecuencia de esto, las hebras se separan. La desnaturalización puede ser reversible den determinadas condiciones; al proceso inverso de recuperación de la doble hélice se le conoce como renaturalización del ADN.
Los procesos celulares importantes como la replicación y la transcripción del ADN requieren la separación del ADN. El fenómeno de desnaturalización se utiliza a menudo en técnicas avanzadas de biología molecular.
Se denomina temperatura de fusión (Tm) a aquella a la que el 50% de la doble hélice ha perdido su estructura. Esta temperatura será mayor cuanto más numerosos sean los enlaces de hidrógeno que la sostienen, es decir, cuanto más pares de citosina y guanina existan en la molécula, ya que entre ellos se establecen tres enlaces por puentes de hidrógeno frente a los dos que se forman en los pares de adenina y guanina.

ARN
Paralelamente al descubrimiento del ADN se descubrió el ARN.
El ARN está formado por largas cadenas poliméricas de ribonucleótidos monofosfato de adenina, uracilo, guanina y citosina. La lectura de las cadenas se realiza en sentido 5′ a 3′.
El ARN, además de las 4 bases nombradas (A,U,G y C), pueden presentar otras bases que en la mayoría de los casos son sus derivados metilados.

Estructura del ARN
El ARN es por lo general monocatenario, la secuencia lineal de bases leídas del extremo 5′ al extremo 3′ constituye su estructura primaria que, en algunos casos, presenta una estructura secundaria de zonas con doble hélice que forman horquillas y zonas no complementarias entre las horquillas, son los lazos o bucles.
Tipos de ARN
A. ARN mensajero
Representa el 3-5% del ARN total de la célula.
El ARNm presenta una estructura lineal monocatenaria, que puede formar horquillas en determinados tramos cuyas bases son complementarias.
Se sintetiza por complementariedad de bases utilizando como molde un fragmento o gen de ADN que codifica para una proteína. El mecanismo de síntesis se denomina transcripción y la función de la molécula obtenida es trasladar dicha información al lugar de síntesis de proteínas.
Respecto del contenido del mensaje distinguimos ARNm monocistrónico (eucariotas) y ARNm policistrónico (procariotas).
La vida media de esta molécula es muy corta, de algunos minutos en procariotas a unas 10 horas en eucariotas. Pasado ese tiempo, la molécula se degrada por acción de las enzimas nucleasas, se evita así la síntesis indefinida de proteínas.

B. ARN de transferencia
El ARN de transferencia (ARNt) es el encargado de transportar los aminoácidos en el citoplasma para la síntesis de proteínas. Es el ácido nucleico de cadena más corta, formado por 70-90 nucleótidos; un 10% está formado por bases nitrogenadas poco frecuentes derivadas de las bases comunes A, C, G o U y representan el 45% de los ácidos nucleicos de la célula.
El ARNt presenta estructuralmente zonas con estructura secundaria de doble hélice y otras en las que se forman bucles (lazos), lo que le da un aspecto de trébol de 3 hojas; espacialmente, su estructura es más compleja, en forma de L invertida o búmeran.

En la estructura secundaria de los ARNt se distinguen las siguientes características:
- Extremo 5′, con un triplete de bases nitrogenadas en el que existe una guanina y un ácido fosfórico libre.
- Extremo 3′, formado por el triplete de bases CAA desapareadas, donde el grupo -OH terminal sirve de lugar de unión con el aminoácido.
- El brazo T, que lleva timina y actúa como lugar de reconocimiento del ribosoma.
- El brazo D, cuya secuencia es reconocida de manera específica por una de las 20 enzimas, llamadas aminoacil-ARNt sintetasas, encargadas de unir cada aminoácido con su correspondiente molécula de ARNt.
- El brazo A presenta en su extremo un bucle de posee un triplete de bases denominado anticodón, que es complementario al correspondiente codón del ARNm.
A cada codón del ARNm le corresponde el ARNt que posea el anticodón complementario, el cual transporta un determinado aminoácido, así se garantiza que el aminoácido correcto se inserte en la proteína que se está sintetizando.
C. ARN ribosómico
El ARNr es el más abundante, supone en torno al 80%del ARN celular. Presenta moléculas largas y monocatenarias, aunque también tiene fragmentos con estructura de doble cadena.
Su función es estructural, ya que asociado por autoensamblaje a proteínas, constituye las subunidades ribosómicas que asociadas al ARNm realizarán la síntesis de proteínas.

D. Otros tipos de ARN
- ARN nucleolar (ARNn) es una larga molécula de ácido ribonucleico, sintetizado y localizado en el nucléolo de las células eucariotas, a partir de la transcripción del ADN, y que se fragmenta originando el ARNr.
- El ARN con actividad catalítica es conocido como ribozima y está formado por estructuras complejas tridimensionales. Puede realizar reacciones de automodificación como la eliminación de intrones o autocorte; otros actúan sobre otros sustratos.
- El ARN de interferencia (ARNI) que controla qué parte del ADN se expresa en forma de proteína y qué parte no se expresa gracias a que son complementarios a regiones específicas de ARNm o de ADN. Dentro encontraremos dos subcategorías, que son el ARN largo no codificante (InRNA) y el Small ARN.
En la siguiente tabla comparativa se recogen las principales diferencias entre los ácidos nucleicos ADN y ARN:

E. Material genético vírico
En los virus, la estructura del material genético vírico acepta todas las combinaciones posibles: doble hélice o cadena sencilla, molécula circular o molécula lineal.
Los virus son formas acelulares que pueden contener como material genético ADN o ARN, pero nunca ambos ácidos nucleicos a la vez.

Fuente: Biología 2 (Mc Graw Hill).